Fungsi Invers Dan Fungsi Komposisi

Jan 28, 2021

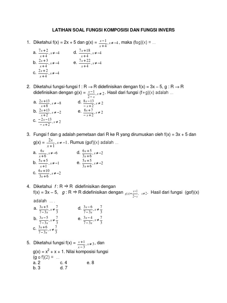
Soal-soal fungsi komposisi dan fungsi invers √ Fungsi Komposisi: Materi, Pengertian, Fungsi Invers, Contoh Soal Bab 3 FUNGSI KOMPOSISI dan INVERS – Math is Fun IMATH: Fungsi, Komposisi Fungsi, dan Fungsi Invers (2) Pembahasan Soal Fungsi Komposisi dan fungsi Invers - [DOC Document] Invers Fungsi Komposisi dan Contoh Soal Bab xiii fungsi komposisi dan fungsi invers IMATH: Fungsi, Komposisi Fungsi, dan Fungsi Invers (2) Contoh Soal Fungsi Komposisi dan Invers dan Jawaban [+Pembahasan] Soal Fungsi Komposisi dan fungsi invers - [DOC Document] Intip Solusi Super Menyelesaikan Soal Fungsi Komposisi buat Kelas 10! Tutorial InverS Fungsi Komposisi (2) - YouTube KOMPOSISI FUNGSI RELASI DAN FUNGSI INVERS | Blognya RobiMu Fungsi - Pengertian, Relasi, Fungsi Komposisi, Fungsi Invers … Fungsi Komposisi dan Invers - Tutorial Matematika - Kesekolah.com √ Fungsi Invers: Sifat, Komposisi, Contoh Soal, Pembahasan Contoh Soal UAN - Fungsi Komposisi Invers Contoh Soal Fungsi Komposisi dan Invers dan Jawaban [+Pembahasan] 24313249 Pembahasan Soal Fungsi Komposisi Dan Fungsi Invers(2 … Contoh Soal Fungsi Komposisi Dan Invers - Contoh Soal Terbaru Invers Fungsi Komposisi - Prediksi Ujian Nasional Matematika IPS … Intip Solusi Super Menyelesaikan Soal Fungsi Komposisi buat Kelas 10! nara on Twitter: “🌻Fungsi Komposisi dan fungsi invers… " Contoh Soal Gabungan Fungsi Komposisi dan Fungsi Invers Contoh Soal UAN - Fungsi Komposisi Invers inisial YF: fungsi komposisi dan fungsi invers Soal Jawab Fungsi Komposisi dan Fungsi Invers soalujian.net Rumus Fungsi Komposisi dan Fungsi Invers dan contoh soal - Brainly … Fungsi Invers dan Fungsi Komposisi | rrachman’s Blog Invers dan Sifat Fungsi Invers pada Komposisi Fungsi | idschool Fungsi Invers - Konsep Matematika (KoMa) Fungsi Komposisi dan Fungsi Invers, Aljabar, Contoh Soal, Sifat … Intip Solusi Super Menyelesaikan Soal Fungsi Komposisi buat Kelas 10! Bab 6 Fungsi Komposisi dan Fungsi Invers - ppt download Materi Fungsi Komposisi dan Fungsi Invers Soal berupa lampiran … Contoh Soal Fungsi Invers Dan Fungsi Komposisi - Dapatkan Contoh fungsi komposisi dan fungsi invers 1 Fungsi,fungsi Komposisi dan Fungsi Invers Soal dan Pembahasan Matematika Fungsi Komposisi dan Fungsi Invers … Intip Solusi Super Menyelesaikan Soal Fungsi Komposisi buat Kelas 10! Pembahasan Soal No 2 3 4 Fungsi Komposisi Dan Fungsi Invers … Latihan Soal Fungsi Komposisi Dan Fungsi Invers Cara Alternatif Dalam Menyelesaikan Soal Fungsi Komposisi dan … √ Fungsi Komposisi (Definisi, Invers, dan Contoh Soal) komposisi fungsi dan invers fungsi Fungsi Invers - Konsep Matematika (KoMa) Fungsi Komposisi dan Fungsi Invers - ppt download Cara Alternatif Dalam Menyelesaikan Soal Fungsi Komposisi dan … Rumus Fungsi Komposisi Dan Fungsi Invers Lengkap Fungsi Komposisi dan Fungsi Invers Matematika - Materi, Soal dan … Invers dan Sifat Fungsi Invers pada Komposisi Fungsi | idschool Perangkat Pembelajaran PowerPoint Materi Fungsi Komposisi dan … FUNGSI KOMPOSISI DAN FUNGSI INVERS | Cara Belajar Matematika Pengertian Invers Fungsi Komposisi dan Contoh Soalnya » elevenia Blog PDF) FUNGSI KOMPOSISI DAN INVERS | Siti Rokhayati - Academia.edu Cara Cepat Menentukan Invers Fungsi dan Invers Dari Fungsi … PPT - FUNGSI KOMPOSISI DAN FUNGSI INVERS PowerPoint Presentation … apa sifat fungsi invers - Brainly.co.id Fungsi Komposisi dan Fungsi Invers Lengkap dengan Contoh Soal dan … √ Fungsi Komposisi: Materi, Pengertian, Fungsi Invers, Contoh Soal Rumus Fungsi Komposisi Dan Fungsi Invers Lengkap fungsi komposisi dan fungsi invers Bab 6 Fungsi Komposisi dan Fungsi Invers - ppt download Cara Mencari invers dari fungsi komposisi - YouTube imgv2-2-f.scribdassets.com/img/document/1097351… SOAL TUGAS KOMPOSISI FUNGSI & INVERS FUNGSI.doc - Google Drive Intip Solusi Super Menyelesaikan Soal Fungsi Komposisi buat Kelas 10! Pembahasan Soal Fungsi Komposisi dan Invers UN 2018 FUNGSI KOMPOSISI DAN FUNGSI INVERS Soal dan Pembahasan - Komposisi dan Invers Fungsi - Mathcyber1997 Fungsi Komposisi & Fungsi Invers - [PDF Document] √ Fungsi Komposisi: Materi, Pengertian, Fungsi Invers, Contoh Soal Fungsi - Pengertian, Relasi, Fungsi Komposisi, Fungsi Invers … Fungsi, Komposisi Fungsi, Fungsi invers, dan Grafik Fungsi oleh … Fungsi Komposisi - Pengertian, Rumus, Sifat, Contoh Soal, Fungsi … Matematika SMA dan MA Kelas XI Program I Bab 6 Fungsi Komposisi dan Fungsi Invers - ppt download Pelajaran, Soal, & Rumus Fungsi Komposisi & Fungsi Invers … √ Fungsi Komposisi (Definisi, Invers, dan Contoh Soal) Rumus Fungsi Komposisi Dan Fungsi Invers Lengkap FUNGSI KOMPOSISI DAN FUNGSI INVERS I KELOMPOK 5 1I PGSD FKIP … PDF) LATIHAN SOAL FUNGSI KOMPOSISI DAN FUNGSI INVERS | Lelly … Fungsi - Pengertian, Relasi, Fungsi Komposisi, Fungsi Invers … rpp-x-fungsi-komposisi - MGMP MATEMATIKA SMA DKI LKPD Fungsi Komposisi Invers.docx RPP 1 Lembar Fungsi Komposisi dan Fungsi Invers | Edumatik.Net fungsi komposisi dan fungsi invers GreatEdu Fungsi, Komposisi Fungsi, dan Invers Fungsi Matematika Fungsi Invers dan Fungsi Komposisi | rrachman’s Blog Rumus Fungsi Invers Kuadrat, Komposisi dan Contoh Soal GURU BERBAGI | Fungsi Komposisi dan invers Fungsi Komposisi dan Fungsi Invers - Dumatika.id √ Fungsi Komposisi: Materi, Pengertian, Fungsi Invers, Contoh Soal Cara Cepat Menentukan Invers Fungsi dan Invers Dari Fungsi … Pembahasan Fungsi Komposisi dan Fungsi Invers.doc Tiga Tipe Soal Fungsi Komposisi dan Invers di UN Matematika SMA … 07-bab-6 Rangkuman, Contoh Soal Fungsi & Komposisi Berikut Pembahasannya Pin oleh romeuo di fungsi komposisi | Buku, Buku sketsa, Komposisi

Sebutkan Beberapa Cara Menentukan Ide Pokok Paragraf

Perbedaan Ilmu Komputer Dan Teknik Komputer