Soal Dan Pembahasan Optika Fisis

Jan 28, 2021

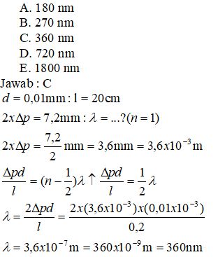
Soal Soal dan pembahasan Optik Fisis Optika Fisis | jalanan DESTINASI FISIKA: Chapter 15 Optika Fisis SNMPTN Soal Soal dan pembahasan Optik Fisis Soal Dan Pembahasan Optika Fisis – IlmuSosial.id 10 Contoh Soal dan Pembahasan Alat Optik Fisika - Id Jurnal Soal Dan Pembahasan Optika Fisis – IlmuSosial.id Contoh Soal Fisika Optik Geometri Dan Pembahasannya 115003841 Soal Dan Pembahasan Optika Fisis Ivan N H Yuk, Belajar Optika: Sifat Fisis Cahaya beserta Contohnya! Optik Fisis: Contoh Soal dan Pembahasan | Fisika Sekolah Optika fisis (percobaan Young interferensi cahaya celah ganda … 10 Contoh Soal dan Pembahasan Alat Optik Fisika - Id Jurnal Optika Fisis | jalanan Optika fisis (percobaan Young interferensi cahaya celah ganda … 115003841 Soal Dan Pembahasan Optika Fisis Ivan N H - [PDF Document] Soal dan Pembahasan Bab 6 Optika Geometri – Fisika SMA 1 (Part 2 … Persiapkan Diri Hadapi SBMPTN Fisika, Yuk Latihan Contoh Soal Optika! Pembahasan Soal Fisika - Optik Fisis Tentang Kisi Difraksi - YouTube MATERI FISIKA KELAS XII : OPTIKA FISIS - Les Privat di Bandung dan … Contoh Soal Fisika Optik Geometri Dan Pembahasannya 15+ Soal Alat Optik Pilihan Ganda dan Jawaban [+Pembahasan] Pembahasan Soal Fisika Tentang Optik Fisis - Susunan Polarisator … OPTIKA GEOMETRI & OPTIKA FISIS - ppt download KUMPULAN SOAL DAN JAWABAN TENTANG OPTIKA GEOMETRIS Soal dan Pembahasan Bab 6 Optika Geometri – Fisika SMA 1 (Part 1 … optika fisis Indeks Bias: Pengertian, Macam, Rumus, Contoh Soal dan Pembahasan … 115003841 Soal Dan Pembahasan Optika Fisis Ivan N H Latihan Soal Gelombang Cahaya 1 (Optik Fisis) - Solusi Fisika optika fisis 10 Contoh Soal dan Pembahasan Alat Optik Fisika - Id Jurnal Optika Fisis - Latihan Soal - Fisika, Optika Fisis - Latihan Soal … Antiremed Kelas 12 Fisika - Fisis - Latihan Soal halaman 1 … Dua … Rumus Sudut Deviasi Minimum, Warna dan Dispersi Prisma, Contoh … OPTIKA GEOMETRI & OPTIKA FISIS - ppt download Revisi Terbaru Contoh Soal Fisika Optika Fisis DOC) OPTIKA FISIS / GELOMBANG CAHAYA | cada ngan - Academia.edu Persiapan UNBK SMA Fisika 2020 | Zenius NB19 Pembahasan soal OSN fisika SMP tingkat kabupaten/kota – Gelombang … Eksperimen Soal Ayunan Fisis Final - Cute766 DESTINASI FISIKA: 2019-04-28 Soal Sbmptn Optika Fisis – IlmuSosial.id Pembahasan 7 Soal Optika Fisis SBMPTN & SIMAK UI | Fisika - YouTube Panduan Belajar UTBK Fisika - Zenius Blog 115003841 Soal Dan Pembahasan Optika Fisis Ivan N H Soal dan Pembahasan Bab 6 Optika Geometri – Fisika SMA 1 (Part 2 … Optika Fisis | jalanan Eksperimen Soal Ayunan Fisis Final - Cute766 Persiapkan Diri Hadapi SBMPTN Fisika, Yuk Latihan Contoh Soal Optika! Soal Soal dan pembahasan Optik Fisis Soal dan Pembahasan Materi Optik Geometri – Fisika Indonesia 10 Contoh Soal dan Pembahasan Alat Optik Fisika - Id Jurnal 20 Contoh Soal Pembiasan Cahaya Beserta Jawabannya Bagian 1 | FISIKABC Pengertian Optik, Macam, Jenis, Konsep dan Geometris Materi Optika Geometri dan Fisis Jual BANK SOAL NASIONAL IPA SMP – 1000 SOAL DAN … Soal dan Pembahasan Materi Optik Geometri – Fisika Indonesia Contoh Soal Dan Pembahasan Optika Fisis Kelas 12 - Contoh Soal Terbaru Soal dan jawaban tentang alat optik (Fisika) | Usaha321.net CONTOH SOAL DAN PEMBAHASAN RANGKAIAN R-L-C | FOKUS FISIKA Jual FISIKA SMA MA - NEW UPDATE THE KING POCKET di Lapak Toko Buku … mindmap fisika -alat optik-.pdf - Berakomodasi d = fob sok … Soal Dan Pembahasan Optika Fisis – IlmuSosial.id OPTIKA GEOMETRI & OPTIKA FISIS - ppt download PDF) Cahaya dan Optik: Pemantulan-Cermin dan Pembiasan-Lensa Optika Fisis | jalanan optika fisis TERBARU BUKU SMA! BUKU POCKET SKS FISIKA SMA KELAS X, XI, XII … SOAL DAN PEMBAHASAN VEKTOR FISIKA | FOKUS FISIKA Soal Optika Fisis tolong berikan soal alat optik dan jawabannya - Brainly.co.id Pembahasan soal alat optik | UN Fisika SMA Contoh dan Pembahasan Soal Pemantulan Sempurna - YouTube Gelombang Cahaya - Sifat, Dispersi, Difraksi, Interferensi, Contoh … Pembiasan Cahaya - [DOCX Document] Kumpulan Soal IPA Kelas 8 SMP MTs Optik Fisis : Interferensi Akibat Beda Lintasan | Fisika Sekolah MODUL V CAHAYA DAN OPTIK A. PENDAHULUAN - PDF Download Gratis √ Cermin (Pengertian, Jenis, Sifat, Rumus, Contoh Soal) Pembahasan Soal Try Out UN (UNBK) Fisika 2020 (17-22) - Ayo … Pembahasan Soal Kacamata - Solusi Fisika Contoh Soal Perhitungan Perbesaran Dan Panjang Teleskop Teropong … Gelombang Cahaya - Sifat, Dispersi, Difraksi, Interferensi, Contoh … Cahaya dan Optika: Pengertian, Pemantulan Cahaya - Edura Blog Persiapkan Diri Hadapi SBMPTN Fisika, Yuk Latihan Contoh Soal Optika! Deskripsi Mata Kuliah PSF – Jurusan Fisika Universitas Negeri Medan Penerapan/Aplikasi Alat Optik Dalam Kehidupan Sehari-hari Hukum Snellius Pada Pembiasan Cahaya: Bunyi, Rumus, Gambar, Contoh … SMA_-_Fisika_4._Opti.. - BANK SOAL Soal Soal dan pembahasan Optik Fisis Ringkasan Materi Soal-soal dan Pembahasan FISIKA IPA SMA/MA - PDF … KUMPULAN SOAL – SOAL PERSIAPAN UJIAN QWERTY Penting dan terbaru 4: Contoh Soal Fisika Bab Gelombang Cahaya Download PwertPoint Fisika SMA Buku marthen Kanginan. - IDsalim.com Fisika SMA, Pembahasan Soal Usaha dan Energi Part 2 – √ Rangkuman Materi Fisika Lengkap Kelas 12 SMA/SMK/MA Soal dan Pembahasan Materi Optik Geometri – Fisika Indonesia AR12FIS0399.pdf - Antiremed Kelas 12 Fisika Optika Fisis Latihan …

Masalah Mendasar Dalam Ilmu Ekonomi

Contoh Soal Fiksi Dan Non Fiksi